山东山维液压机械有限公司 欢迎您!  液压千斤顶|德州液压 设为首页  |  加入收藏
产品展示   |   质量为先、诚信为本、互惠互利!

当前位置:主页 > 产品展示 > 公司产品

DSD系列电动油泵

产品介绍

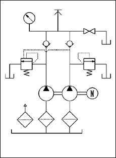
DSD系列电动油泵为单出油口,内有高低压泵,当油缸无负载时,高低压泵同时供油,快速省时。当油缸有负载时,低压泵自动卸荷,仅高压泵供油,适用于单作用油缸或打压试验,手动卸荷,可实现停机保压。

原理图:



技术参数表